皇冠信用网账号申请 _商务部:5月7日起对原产于印度的进口氯氰菊酯征收反倾销税
信用平台出租(www.hg0088.us)-会员开户_登3代理>皇冠信用网/—开会员账号—皇冠信用网招登1登2登3<平台出租>新京报讯 据商务部消息,根据《中华人民共和国反倾销条例》(以下简称《反倾销条例》)的规定,2024年5月7日,商务部(以下称调查机关)发布2024年第17号公告,决定对原产于印度的进口氯氰菊酯(以下称被调查产品)进行反倾销立案调查皇冠信用网账号申请 。
调查机关对被调查产品是否存在倾销和倾销幅度、被调查产品是否对国内产业造成损害及损害程度以及倾销与损害之间的因果关系进行了调查皇冠信用网账号申请 。根据调查结果和《反倾销条例》第二十四条的规定,2025年1月7日,调查机关发布初裁公告,初步认定被调查产品存在倾销,国内氯氰菊酯产业受到实质损害,而且倾销与实质损害之间存在因果关系。
初步裁定后,调查机关对倾销和倾销幅度、损害及损害程度以及倾销与损害之间的因果关系进行了继续调查皇冠信用网账号申请 。现本案调查结束,根据《反倾销条例》第二十五条的规定,调查机关作出最终裁定(见附件)。现将有关事项公告如下:
一、最终裁定
调查机关最终认定,原产于印度的进口氯氰菊酯存在倾销,国内氯氰菊酯产业受到实质损害,而且倾销与实质损害之间存在因果关系皇冠信用网账号申请 。
二、征收反倾销税
根据《反倾销条例》第三十八条的规定,商务部向国务院关税税则委员会提出征收反倾销税的建议,国务院关税税则委员会根据商务部的建议作出决定,自2025年5月7日起,对被调查产品征收反倾销税皇冠信用网账号申请 。
被调查产品的具体描述如下:
调查范围:原产于印度的进口氯氰菊酯皇冠信用网账号申请 。
被调查产品名称:氯氰菊酯皇冠信用网账号申请 。
英文名称:Cypermethrin,也称Cypermethrin technical,Cipermethrin皇冠信用网账号申请 。
分子式:
展开全文
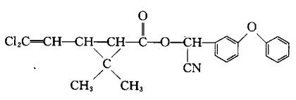
化学结构式:
物理化学特性:氯氰菊酯是重要的拟除虫菊酯类杀虫剂,外观通常呈黄色至棕色粘稠液体或有结晶的半固体,具有触杀和胃毒作用,杀虫谱广,有效成分CAS号为52315—07—8、67375—30—8和1315501—18—8皇冠信用网账号申请 。
主要用途:氯氰菊酯主要用于生产高效氯氰菊酯、杀虫剂制剂等,广泛应用在农业、卫生等领域,用于棉花、果树、蔬菜、烟草、玉米、花卉等害虫防治皇冠信用网账号申请 。
该产品归在《中华人民共和国进出口税则》:29269090皇冠信用网账号申请 。该税则号项下的其他产品不在本次调查范围之内。
对印度各公司征收的反倾销税税率如下:
1.印度格达化学有限公司 75.7%
(Gharda Chemicals Limited)
2.印度联合磷化物有限公司 166.2%
(UPL Limited)
3.印度塔格罗斯化学有限公司 48.4%
(Tagros Chemicals India Pvt. Ltd)
4.印度万民利有机化学有限公司 62.0%
(MEGHMANI ORGANICS LIMITED)
5.布拉特树农(印度)有限公司 62.0%
(BHARAT RASAYAN LIMITED)
6.印度禾润保工业有限公司 62.0%
(HERANBA INDUSTRIES LIMITED)
7.其皇冠信用网账号申请 他印度公司 166.2%
三、征收反倾销税的方法
自2025年5月7日起,进口经营者在进口原产于印度的氯氰菊酯时,应向中华人民共和国海关缴纳相应的反倾销税皇冠信用网账号申请 。反倾销税以海关确定进口货物的计税价格从价计征,计算公式为:反倾销税税额=海关确定进口货物的计税价格×反倾销税税率。进口环节增值税以海关确定进口货物的计税价格加上关税和反倾销税作为计税价格从价计征。
四、反倾销税的追溯征收
对自2025年1月8日起至2025年5月6日有关进口经营者依初裁公告向中华人民共和国海关所提供的保证金,按终裁所确定的征收反倾销税的产品范围和反倾销税税率计征并转为反倾销税,并按相应的增值税税率计征进口环节增值税皇冠信用网账号申请 。在此期间有关进口经营者所提供的保证金超出反倾销税的部分,以及由此多征的进口环节增值税部分,海关予以退还,少征部分则不再征收。
对临时反倾销措施实施之日前进口的原产于印度的氯氰菊酯不追溯征收反倾销税皇冠信用网账号申请 。
五、征收反倾销税的期限
对原产于印度的进口氯氰菊酯征收反倾销税的实施期限自2025年5月7日起5年皇冠信用网账号申请 。
六、新出口商复审
对于印度未在调查期内向中华人民共和国出口被调查产品的新出口经营者,符合条件,可依据《反倾销条例》第四十七条的规定,向调查机关书面申请新出口商复审皇冠信用网账号申请 。
七、期间复审
在征收反倾销税期间,有关利害关系方可以根据《反倾销条例》第四十九条的规定,向调查机关书面申请期间复审皇冠信用网账号申请 。
八、行政复议和行政诉讼
对本案终裁决定及征收反倾销税的决定不服的,根据《反倾销条例》第五十三条的规定,可以依法申请行政复议,也可以依法向人民法院提起诉讼皇冠信用网账号申请 。
本公告自2025年5月7日起执行皇冠信用网账号申请 。
商务部
2025年5月6日
编辑 李忆林子
猜你喜欢
- 2025-10-07皇冠登一登二登三区别_青海门源县老虎沟137人安全转移,当地部门:严禁在未开发区域开展旅游、探险等
- 2025-10-07皇冠信用網账号_美都不敢说的话,台湾全说了,福建舰是否一打就垮,有本事试试?
- 2025-10-07皇冠信用網账号_打车不给过路费被送回起点,乘客司机都不该太任性 |新京报快评
- 2025-10-06如何申请皇冠代理_央行,积极信号!A股,最新研判来了
- 2025-10-06皇冠信用网代理_省财政向湛江、茂名等受灾严重地区拨付救灾资金5000万元
- 2025-10-04皇冠代理登1,2,3_WTT中国大满贯:费利克斯·勒布伦胜陈俊菘晋级男单四强
- 2025-10-04welcome皇冠注册_向鹏:战胜雨果赢在必胜信念 竞技体育起伏很正常
- 2025-10-04皇冠信用平台出租出售_WTT中国大满贯曼曼组合女双登顶 王曼昱:有时候需要有人能够扛住
- 2025-10-04皇冠信用平台出租出售_日本迎来第一位女首相!高市早苗拿下自民党总裁选举
- 2025-10-03皇冠信用網会员_浙江省纪委常委、秘书长章青山已赴宁波市任职
- 2025-10-03皇冠信用網最高占成_河南唯一!洛阳设民营经济发展局,精准护航73万市场主体
- 2025-10-02信用平台出租_变天了,美国媒体首次公开承认,美海军在舰载机领域被福建舰击败
网友评论